Karoseri Sumber Teknik Service (STS) Rilis Daftar Karoseri yang Sudah Mendapat Ijin Dishub



Karoseri Sumber Teknik Service (STS) Rilis Daftar Karoseri yang Sudah Mendapat Ijin Dishub

 

Karoseri STS baru saja merilis daftar pembuatan karoseri yang telah memiliki SKRB dari Dishub. Seperti diketahui, Surat Ketetapan Rancang Bangun (SKRB) adalah prasyarat agar Sertifikat Registrasi Uji Tipe (SRUT) bisa diterbitkan. Sementara SRUT adalah dokumen pendukung untuk memproses STNK sehingga memilih perusahaan karoseri yang telah memiliki SKRB untuk jenis karoseri yang akan dibuat merupakan syarat mutlak agar STNK kendaraan bisa terbit.
 
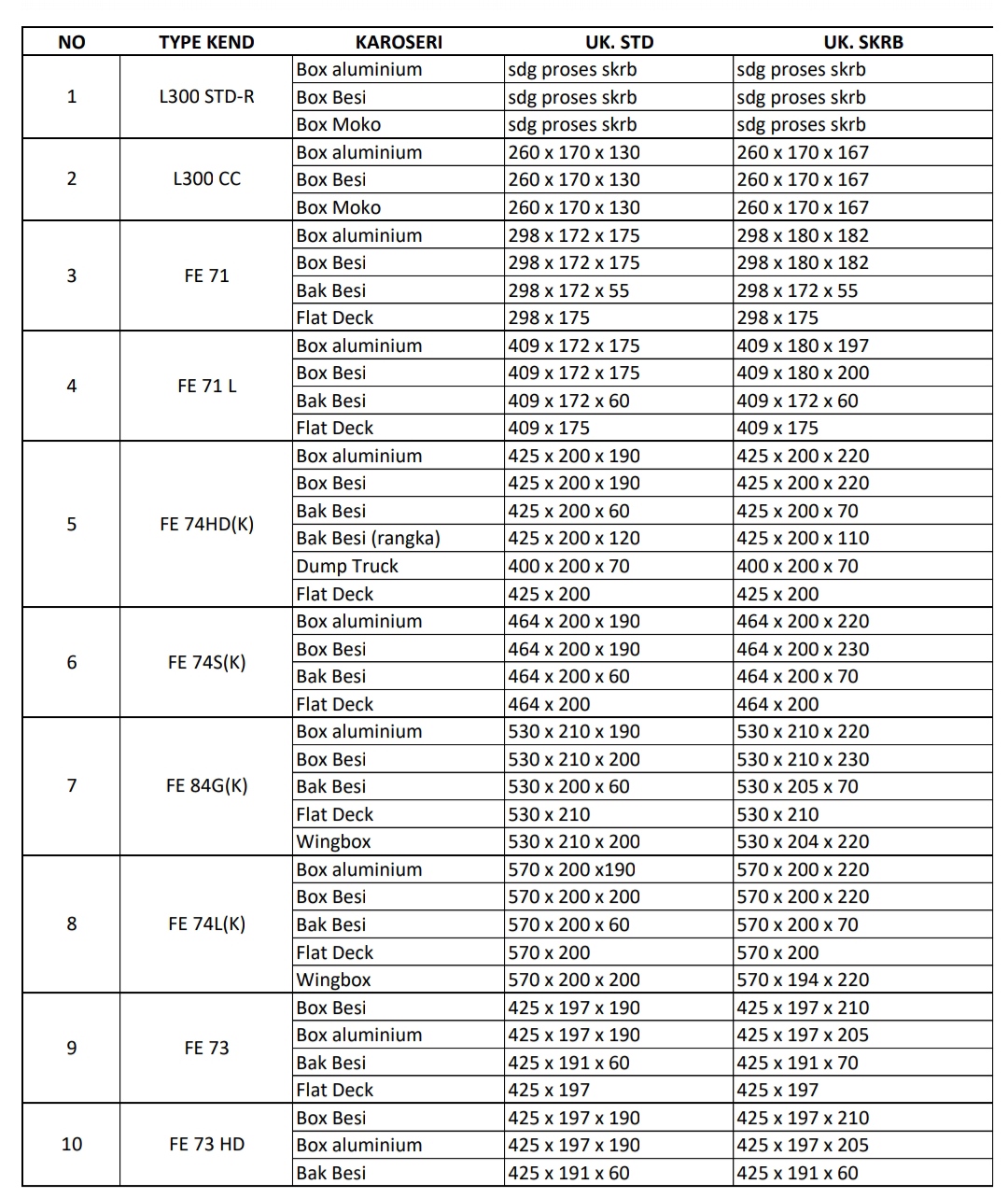
Berikut ini disajikan tabel pembuatan karoseri dari STS yang telah memiliki SKRB dari Dishub.
DAFTAR SKRB YANG DIMILIKI KAROSERI STS 
 
STS adalah perusahaan karoseri yang beralamat di Jl. Benda Raya No. 25-26-27 (Pergudangan Kamal Indah 1) Jakarta Barat. Perusahaan ini senantiasa berkomitmen untuk menjaga kualitas hasil karoseri yang dikerjakan agar pelanggan merasa puas dan hubungan baik pun terjaga.
 

Membuat Berbagai Jenis Box

Buat pebisnis yang ingin membuat aneka jenis kendaraan box, seperti Box Besi, Box Aluminium hingga Wingbox bisa mempercayakannya pada STS. Selain itu, bisa juga membuat box moko bagi pedagang yang ingin menjual barang dagangannya secara mobile (bisa berpindah-pindah). Khusus untuk box moko ini, karoseri STS membuatnya di atas chasis Mitsubishi L300 dengan ukuran box adalah Panjang 260 cm, Lebar 170 cm dan Tinggi 167 cm (ukuran maksimal).
 

Membuat Berbagai Jenis Bak

Selain box, karoseri STS juga terkenal berkualitas dalam memproduksi bak besi, losbak ataupun dumptruck. Khusus untuk Dumptruck, karoseri STS sudah memiliki SKRB untuk chasis Mitsubishi FE 74 HDV(K) 125 PS dengan ukuran bak adalah Panjang 400 cm, Lebar 200 cm dan Tinggi 70 cm.
 
Untuk harga yang ditawarkan, bergantung kepada spek teknis dan aksesoris yang ingin ditambahkan oleh pelanggan. Silakan hubungi saya by WA di nomor 0852.1520.0246 untuk mendapatkan penawaran harga yang disesuaikan dengan permintaan spesifik anda.





Selamat Datang, Semoga Anda Selalu Sehat. Layanan Pengajuan Harga Khusus Customer Fleet Mitsubishi Fuso, Canter, L300 dan Xpander Hubungi 0852-1520-0246